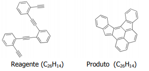
Em 2013, cientistas conseguiram pela primeira vez “fotografar” uma reação de rearranjo de uma molécula orgânica em resolução atômica (3Å = 3 x 10⁻¹⁰ m), usando microscopia de força atômica. A imagem obtida é mostrada abaixo. A representação das estruturas do reagente e do produto, como se costuma encontrar em livros de química, também está mostrada abaixo, e a semelhança entre ambas é marcante.



Disponível em: <http://www.cchem.berkeley.edu/ frfgrp/index.html>. Acesso em: 3 set. 2013.

Considere as seguintes afirmações a respeito desses compostos.
I. - Ambos são hidrocarbonetos aromáticos.
II. - Ambos têm na sua estrutura a presença de carbonos com geometria trigonal plana.
III - Reagentes e produtos são compostos isômeros.
Quais estão corretas?