Questão
Associação Catarinense das Fundações Educacionais - ACAFE
2012
Fase Única
VER HISTÓRICO DE RESPOSTAS
4000204739
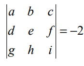
Analise as afirmações abaixo, sabendo que:
Assinale a alternativa correta.
A
Apenas I, III e IV são verdadeiras.
B
Apenas a afirmação III é verdadeira.
C
Apenas I e II são verdadeiras.
D
Todas as afirmações são verdadeiras.
Responder
Ver solução e comentários