Questão
Universidade Estadual do Centro-Oeste - Unicentro
2012
Fase Única
VER HISTÓRICO DE RESPOSTAS
4000070362

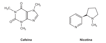
Considerando-se a estrutura da cafeína, estimulante encontrado no café, e a da nicotina, uma das substâncias responsáveis pela dependência associada ao uso de tabaco, é correto afirmar: 
A
A cafeína pertence à classe das nitrilas de cadeia fechada saturada.
B
O grupo metil, na estrutura molecular da nicotina, está ligado ao grupo funcional da classe das amidas.
C
As fórmulas moleculares da cafeína e a da nicotina são representadas, respectivamente, por C₈H₁₀N₄ e C₁₀H₁₄N₂.
D
A molécula de cafeína apresenta grupos carbonilas ligados aos átomos de nitrogênio que não possuem pares eletrônicos não ligantes. 
E
Os átomos de carbono primários, nos grupos metil, nas estruturas moleculares da cafeína e da nicotina, são hibridizados sob a forma sp.