Questão
Universidade José do Rosário Vellano – UNIFENAS
2013
Fase Única
VER HISTÓRICO DE RESPOSTAS
4000176044
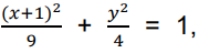
Dada a fórmula:
pede-se: a cônica, o centro e o semieixo maior, respectivamente:
A
Circunferência, (1;0) e 9;
B
Hipérbole, (-1;0) e 3;
C
Elipse, (-1;0) e 9;
D
Elipse, (-1;0) e 3;
E
Hipérbole, ( 1;0) e 9.
Responder
Ver solução e comentários