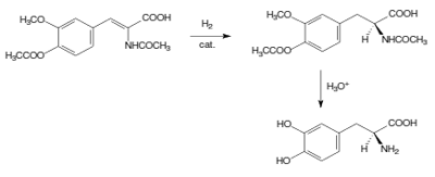
A L-DOPA é utilizada no tratamento do mal de Parkinson, e uma rota para sua síntese ocorre a partir de uma enamida, sendo ela um exemplo de síntese orgânica enantiosseletiva. As etapas simplificadas do processo estão apresentadas a seguir.


Considerando o exposto, conclui-se que, na última etapa da síntese, ocorre a remoção dos seguintes grupos: