Questão
Universidade Federal de Roraima - UFRR
2017
Fase Única
VER HISTÓRICO DE RESPOSTAS
4000199061
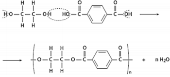
Observe a seguinte reação de polimerização entre o etilenoglicol e o ácido tereftálico:
O nome da reação de polimerização acima, o nome do polímero obtido e a função orgânica presente nele são respectivamente:
A
Adição, Poliestireno, Éter;
B
Adição, Policarbonato, Éter;
C
Condensação, Poliuretano, Éster;
D
Condensação, Polietileno, Éster;
E
Condensação, Kevlar, Cetona.
Responder
Ver solução e comentários