
Por muito tempo, o termômetro mais usado foi o de mercúrio. O funcionamento desse tipo de termômetro é baseado nas diferenças de dilatação térmica do mercúrio e do vidro constituinte do instrumento. Este aparelho é composto por um bulbo, onde encontra-se o mercúrio e um tubo capilar. Quando aquecemos o sistema, o mercúrio dilata, extravasando a porção do tubo e passa ocupar uma altura ℎ no capilar.
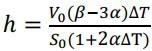
Considere que houve uma variação de temperatura ∆𝑇 = 𝑇 − 𝑇₀ neste termômetro. Qual é a altura final ℎ no capilar?
Dados:
• O capilar é um cilindro, que a temperatura 𝑇₀ tem seção 𝑆₀.
• O coeficiente de dilatação volumétrica do mercúrio vale 𝛽.
• O coeficiente de dilatação linear do vidro é 𝛼.
• Tanto o bulbo como o capilar são feitos do mesmo vidro.
• O mercúrio ocupa todo o volume do bulbo na temperatura 𝑇₀.
• O volume do bulbo na temperatura 𝑇₀ vale 𝑉₀.




