Questão
Questão Inédita - Cursos Regulares
2021
Não se aplica
4000192101
Discursiva
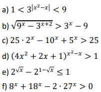
Resolva as seguintes inequações:
Responder
Ver solução e comentários