Questão
Instituto Tecnológico de Aeronáutica - ITA
1996
Fase Única
VER HISTÓRICO DE RESPOSTAS
4000153901
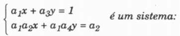
Sejam a₁ a₂, a₃ e a₄ quatro números reais (com a₁ ≠ 0), formando nessa ordem uma progressão geométrica. Então, o sistema em 𝑥 e 𝑦
A
impossível.
B
possível determinado.
C
possível indeterminado.
D
possível determinado apenas para a₁ > 1.
E
possível determinado apenas para a₁ < - 1.
Responder
Ver solução e comentários