Sendo ABC um triângulo equilátero, analise as sentenças.
I. Se as medidas da área, da altura e do lado de ABC formam, nessa ordem, uma progressão aritmética, então a medida do seu perímetro é igual a 12 — 4√3 u.c.
II. Se as medidas da área, da altura e do lado de ABC formam, nessa ordem, uma progressão geométrica, então a medida do seu perímetro é igual a 3√3 u.c.
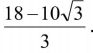
III. III. Se as medidas da área, da altura e do lado de ABC formam, nessa ordem, uma progressão aritmética, então a razao dessa progressão e 

Assinale a alternativa correta.