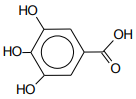
Taninos são polímeros de fenóis, responsáveis pela sensação de adstringência ao se consumir frutas verdes e vinho tinto. Das fórmulas estruturais planas a seguir, a que representa o monômero de um tanino é
Questão
Universidade Federal de Goiás - UFG
2011
1ª Fase
VER HISTÓRICO DE RESPOSTAS
4000069054
A

B

C

D

E
