Questão
Universidade Federal Fluminense - UFF
1996
1ª Fase
VER HISTÓRICO DE RESPOSTAS
4000154621
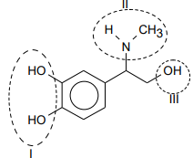
A adrenalina é um hormônio liberado na corrente sanguínea dos seres humanos quando em situação de perigo eminente. Sua fórmula estrutural é:
Os grupos funcionais I, II e III são, respectivamente:
A
álcool, amida, álcool
B
álcool, amina, álcool
C
fenol, amida, álcool
D
fenol, amina, álcool
E
álcool, amina, fenol
Responder
Ver solução e comentários