
Um bloco cúbico homogêneo de aresta L parte do repouso em uma rampa de altura h. O bloco desliza sem atrito até que seu vértice P alcance a coordenada x = 0 em uma superfície plana.
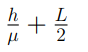
Sabendo que o coeficiente de atrito cinético é μ para x≥0, a coordenada
do vértice P em que o bloco estaciona, considerando que
é:
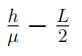
do vértice P em que o bloco estaciona, considerando que
é:



