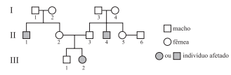
O diagrama representa o padrão de herança de uma doença genética que afeta uma determinada espécie de animal silvestre, observado a partir de cruzamentos controlados realizados em cativeiro.


A partir da análise da ocorrência da doença entre os indivíduos nascidos dos diferentes cruzamentos, foram feitas as afirmações seguintes.
I. Trata-se de uma doença autossômica recessiva.
II. Os indivíduos I-1 e I-3 são obrigatoriamente homozigotos dominantes.
III. Não há nenhuma possibilidade de que um filhote nascido do cruzamento entre os indivíduos II-5 e II-6 apresente a doença.
IV. O indivíduo III-1 só deve ser cruzado com o indivíduo II-5, uma vez que são nulas as possibilidades de que desse cruzamento resulte um filhote que apresente a doença.
É verdadeiro o que se afirma em