Questão
Universidade Federal de Mato Grosso do Sul - UFMS
2020
Fase Única
VER HISTÓRICO DE RESPOSTAS
4000078310
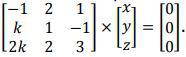
Em uma empresa de venda de carros, são vendidos três modelos de carros, em três versões diferentes, e o faturamento pode ser escrito na forma matricial  Para que o sistema tenha soluções próprias, o valor de k é: 
A
−2.
B
-1/2.
C
0.
D
1/2.
E
2.