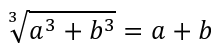
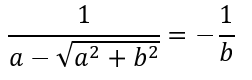
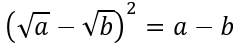
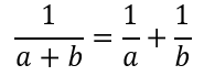
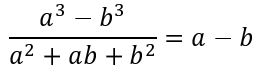
A igualdade correta para quaisquer a e b, números reais maiores do que zero é
Questão
Provas Oficiais - FUVEST
2016
1ª Fase
VER HISTÓRICO DE RESPOSTAS
4000009257
A

B

C

D

E
