Questão
Universidade Estadual do Ceará - UECE
2024
2ª Fase
VER HISTÓRICO DE RESPOSTAS
4000294147
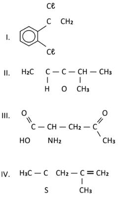
As ligações químicas das estruturas orgânicas I, II, III e
IV a seguir estão incompletas. Complete-as e assinale a
afirmação verdadeira.
A
Na estrutura III falta uma ligação simples entre os
átomos de carbono e de nitrogênio e uma ligação dupla
entre os átomos de carbono e oxigênio.
B
Na estrutura I falta uma ligação simples entre os
átomos de carbono e de cloro e uma ligação simples
entre os átomos de carbono.
C
Na estrutura II falta uma ligação dupla entre os átomos
de carbono e de oxigênio e uma ligação simples entre
os átomos de carbono.
D
Na estrutura IV falta uma ligação dupla entre os
átomos de carbono e enxofre e uma ligação simples
entre os átomos de carbono.
Responder
Ver solução e comentários