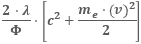
A menor energia necessária para arrancar elétrons de uma barra metálica é denominada função trabalho (Φ). Se um fóton tiver energia inferior à função do trabalho, ele não será capaz de arrancar elétrons do metal. Por outro lado, se o fóton tiver energia superior, ele poderá arrancar os elétrons. A energia que sobra é convertida em energia cinética para os elétrons.


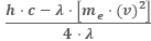
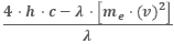
Considere que a constante de Planck seja h, a massa de um elétron mₑ, e que o comprimento de onda de um fóton de determinada radiação luminosa seja dado por λ e que ela se mova na velocidade da luz c.
Se um determinado elétron foi ejetado com velocidade v, a constante de Planck, expressa a partir das constantes citadas, se dá por




