Um dos métodos disponíveis para medir a quantidade de glicose em líquidos biológicos é denominado “Teste Enzimático Colorimétrico”, envolvendo as duas reações químicas abaixo (balanceadas). Na reação química (I), a enzima glicose oxidase (GOD) catalisa a oxidação da glicose para ácido glucônico e peróxido de hidrogênio. Na reação química (II), o peróxido de hidrogênio reage com 4-aminoantipirina e fenol, catalisada pela peroxidase (POD), formando um complexo de cor vermelha (quinoneimina) e água. A intensidade de cor da solução resultante é medida diretamente proporcional à concentração de glicose na amostra.




DADOS:
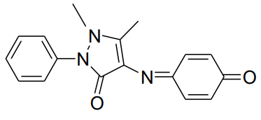
- Estrutura química da quinoneimina:

- Volume de 1 gota = 0,05 mL.
Baseando-se nas informações acima:
a) Uma pessoa está com concentração de glicose no sangue igual a 80 mg/dL. Se 2 gotas do seu sangue forem utilizadas no teste enzimático colorimétrico, qual a quantidade de quinoneimina produzida (em gramas)? Mostre seus cálculos.
b) A molécula de glicose existe em duas formas: linear (representada abaixo) e em anel. Na água, a molécula da glicose existe na forma de anel, como resultado da reação entre os grupos aldeído e hidroxila da molécula na forma linear. Desenhe a estrutura química da glicose na forma de anel (cíclica).
