Questão
Faculdade de Ciências da Saúde de Barretos - FACISB
2025
Fase Única
VER HISTÓRICO DE RESPOSTAS
4000303054

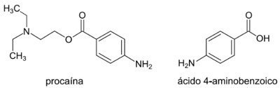
A procaína é um anestésico local usado em procedimentos odontológicos. Sua síntese é feita a partir da reação entre o ácido 4-aminobenzoico e um composto que apresenta o grupo funcional -OH.


A fórmula molecular do composto que reage com o ácido 4-aminobenzoico para a obtenção da procaína é:
A
C₆H₁₅NO
B
C₆H₁₀NO
C
C₄H₁₀NO
D
C₄H₁₂NO
E
C₆H₁₂NO