Questão
Universidade do Estado de Minas Gerais - UEMG
2023
Fase Única
VER HISTÓRICO DE RESPOSTAS
4000283941
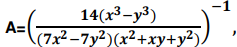
Um professor lançou o seguinte desafio aos seus alunos, calcular o valor da expressão.

 para x = 2023 e y = 2013. Respondeu, corretamente, o aluno que calculou o valor: 
A
0,5
B
1
C
2018
D
4036